Matemática, espíritu y arte
miércoles, 16 de marzo de 2016
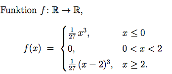
Estudiar la continuidad
No hay comentarios.:
Publicar un comentario
Entrada más reciente
Entrada antigua
Página Principal
Suscribirse a:
Comentarios de la entrada (Atom)
No hay comentarios.:
Publicar un comentario