sábado, 30 de mayo de 2015
miércoles, 27 de mayo de 2015
Metodología Lúdica: Circunferencia/círculo
Metodología Lúdica: Circunferencia/círculo: Circunferencia Circunferencia La circunferencia es una línea curva, cerrada y plana, cuyos puntos están a igual distancia del punto fij...
Metodología Lúdica: Triángulo de Sierpinski
Metodología Lúdica: Triángulo de Sierpinski: Es una buena animación en la que puedes ir construyento paso a paso tu propio triángulo Sierpinski. Entra aquí
miércoles, 20 de mayo de 2015
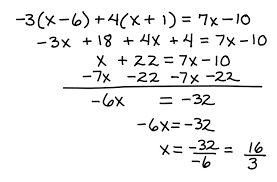
Matemática - Propiedades: Ecuaciones con valor absoluto
Matemática - Propiedades: Ecuaciones con valor absoluto: Ejemplo : Resolver la ecuación | X + 6 | = 7 Solución : Si | x + 6 | = 7, entonces a) x + 6 = 7 ó b) x + 6 = -7 Resolve...
martes, 19 de mayo de 2015
Lenguajes Matemáticos
|
Expresión coloquial
|
Expresión Simbólica
|
|
Dado un número
|
|
|
El duplo, el doble de un número
|
|
|
La mitad de un número
|
|
|
Un número disminuido en...
|
|
|
El antecesor, o el anterior de un número
|
|
|
El sucesor o el siguiente
de un número
|
|
|
El opuesto de un número
|
|
|
Números consecutivos
|
|
|
Un número par
|
|
|
Números pares consecutivos
|
|
|
Un número impar
|
|
|
Números impares consecutivos
|
|
|
El triple de un número
|
|
|
El cuádruplo de un número
|
|
|
La tercera parte, o el tercio de un número
|
|
|
La cuarta parte de un número
|
|
|
La quinta parte de un número
|
|
|
El cuadrado de un número
|
|
|
El cubo de un número
|
|
|
El cuadrado del siguiente de un número
|
|
|
El cubo del siguiente de un número
|
|
|
La raíz cuadrada de un número
|
|
|
La raíz cúbica de un número
|
|
|
La raíz cuarta de un número
|
|
|
La razón entre dos números: división
|
|
|
El producto entre dos números: multiplicación
|
|
|
La diferencia entre dos números: sustracción
|
|
domingo, 17 de mayo de 2015
sábado, 16 de mayo de 2015
jueves, 14 de mayo de 2015
martes, 12 de mayo de 2015
Articulación
Matemática Profesora
Mirta Torruella
La Articulación: Construcción de puentes
La articulación entre 6º
año de Primaria y 1º de Secundaria permite dar coherencia y unidad al sistema
educativo. La construcción de la articulación implica pensar, simultáneamente,
en la unidad y en la diversidad.
Debemos tener en cuenta que el alumno es el mismo en los diversos niveles de escolaridad que transita y que sus saberes van modificándose interna, gradual y progresivamente en la medida de sus propias construcciones cognitivas y de su desarrollo personal y social.
La escuela es un espacio particular en que la articulación se instituye como acción real. La construcción de puentes interniveles constituye un maravilloso compromiso institucional en el que intervienen diversos actores: maestros, profesores, directivos, auxiliares, padres, alumnos.
Debemos tener en cuenta que el alumno es el mismo en los diversos niveles de escolaridad que transita y que sus saberes van modificándose interna, gradual y progresivamente en la medida de sus propias construcciones cognitivas y de su desarrollo personal y social.
La escuela es un espacio particular en que la articulación se instituye como acción real. La construcción de puentes interniveles constituye un maravilloso compromiso institucional en el que intervienen diversos actores: maestros, profesores, directivos, auxiliares, padres, alumnos.
Permite dar
coherencia y seguimiento, aprovechando en su mayor expresión lo ya hecho en primaria,
apuntando, simultáneamente a la unidad y a la diversidad. Desde la perspectiva del alumno, debemos
considerar que el proceso de aprendizaje requiere mantener una continuidad vital,
sin fragmentación, sin discontinuidad, sin “cortes”.
Vincular adecuadamente conocimientos y saberes, permite aprovecharlos al máximo, como para que nada perturbe la fluidez del proceso de aprendizaje.
Es importante considerar que el alumno es el mismo en los diversos niveles de escolaridad que transita y que a través de la maduración de conceptos, va modificándose interna, gradual y progresivamente en la medida de sus propias construcciones cognitivas y de su desarrollo personal y social lo permitan.
Vincular adecuadamente conocimientos y saberes, permite aprovecharlos al máximo, como para que nada perturbe la fluidez del proceso de aprendizaje.
Es importante considerar que el alumno es el mismo en los diversos niveles de escolaridad que transita y que a través de la maduración de conceptos, va modificándose interna, gradual y progresivamente en la medida de sus propias construcciones cognitivas y de su desarrollo personal y social lo permitan.
La escuela constituye
ese espacio particular en que la articulación puede instituirse como acción
real , concreta, tangible.
La articulación entre
niveles debe significar la construcción en común de puentes necesarios entre
los saberes previos y los nuevos, para garantizar una “saludable”la transición de
un nivel a otro con flexibilidad y continuidad . Debe constituir un adecuado proyecto
común, fundado en reflexiones entre los distintos actores del último año de
primaria y el primero de secundaria, sobre el aprendizaje y las prácticas de
enseñanza, centrado en la necesidad de realizar acciones que permitan articular
saberes y niveles educativos.
Como actividades
propuestas, sería propicio: *Realizar reuniones de intercambio con docentes de los dos niveles para
conocer saberes previos, intereses de los grupos, cantidad de alumnos, etc.
*Hacer hincapié en
los saberes previos que son indispensables desarrollar en la Primaria, para un buen comienzo y desarrollo de temas en
1er año de Secundaria como son: correcta utilización de los elementos de Geometría, construcción de figuras planas, cálculo de áreas y perímetros de figuras sencillas, reducciones, operaciones básicas, conocimiento del sistema sexagesimal de medición de ángulos y en general de
SIMELA, refuerzo de conceptos elementales y propiedades de las operaciones en Aritmética
y Álgebra y ejemplos concretos y sencillos de Lógica Matemática, como por
ejemplo: todos los cuadrados son rombos y no todos los rombos son cuadrados.
*Invitar a alumnos y docentes de 6º a concurrir a clase de 1er año y viceversa. *Preparar actividades en conjunto, por ejemplo talleres, donde se trabaje también con el aspecto lúdico de la Matemática.
*Invitar a alumnos y docentes de 6º a concurrir a clase de 1er año y viceversa. *Preparar actividades en conjunto, por ejemplo talleres, donde se trabaje también con el aspecto lúdico de la Matemática.
*Ofrecer ayuda y
apoyo escolar en conjunto, para así lograr un vínculo estrecho y productivo entre
las escuelas que articulan.
*Considerar como muy
valioso contar en 1er año de la Secundaria con las fichas personales y los diagnósticos de grupo de los
alumnos en Primaria, para lograr tener
un mayor conocimiento de situaciones que nos permitan un seguimiento adecuado de
los alumnos, favoreciendo sus individualidades para mejorar día a día el
rendimiento, llevándolo a un nivel óptimo a partir de sus características
individuales.
*Involucrar en la
tarea de articulación a los distintos actores: Inspectores, Supervisores, Directivos,
Docentes de ambas Instituciones, Preceptores, Alumnos, Padres.
Como ex alumna de la
Escuela 22 y actual docente de Matemática de 1º en la ESB 349, ofrezco de
corazón ♥mi
parecer, esperando que lo mío sea de utilidad para todos.
domingo, 10 de mayo de 2015
domingo, 3 de mayo de 2015
sábado, 2 de mayo de 2015
Suscribirse a:
Comentarios (Atom)

